Zereena at Family Lunch in 2016
Pizza holds a special place in our hearts at BEAM. From the very beginning, through the challenges of COVID, we’ve shared pizza (even when we could only do it virtually) and built community together. So this Pi Day we’re spotlighting the humble pizza pie. Since it’s impossible to share an actual pizza with you all, we’re doing the next best thing — sharing a theorem about sharing pizza, the aptly named pizza theorem.
The pizza theorem says that if a pizza is cut 4 times through a point P into 8 slices of equal angle 45°, and slices are alternately topped with pepperoni and mushrooms, then the total area of the pepperoni slices equals the total area of the mushroom slices.
Note that the point P can be any point within the pizza.
If we ordered a half-and-half pizza and this arrived, we would be flabbergasted, but we'd have to ask ourselves: is there really the same amount of pepperoni and mushrooms? The longer we look at the picture above, the less sure we are that it is true at all.
The pizza theorem belongs to one of the most intriguing sorts of math problems — the statement is simple and straightforward, but it’s not obvious whether it’s true or not and the path towards proving it appears tricky, or even impossible.
Problems like these are responsible for entire fields and careers in pursuit of answers, and they also showcase one of the strengths of mathematics: that we can use logic to wade through the uncertainty, and arrive at what is, 100%, true.
To build some intuition about whether the theorem holds or not, let’s draw some examples. You see that you can create some pretty wild (potentially) half-and-half pizzas!
From the last example, it's not clear how you'd write a proof. So let's test the assumptions: what if you cut the pizza 2 or 3 times (instead of 4) into slices with equal angles? We can come up with examples with 2 or 3 cuts where the alternating slices definitely do not share the same value for combined area, so the theorem does not hold for 2 or 3 cuts. So, there's something special about making 4 cuts that makes the theorem hold. (In fact, it works with 4, 6, 8, etc. cuts.)
Proof with calculus and π
We'll share the proof from the article "Dividing a pizza into equal parts — an easy job?" by Professor Hans Humenberger of the University of Vienna. Most proofs are surprisingly complex, but here you can understand what is going on and the final answer actually includes pi (how perfect)! However, we have to warn you: this part gets technical and uses some calculus, so if that's not your thing, you might want to skim past!
A proof inside a proof:
To begin, we need a "lemma." Lemma is just a fancy way of saying "a proof within a proof," a little mini-fact that we'll use to prove our final fact. In fact, the word "dilemma" comes from the same root: "lemma" means premise, so a "dilemma" makes you cope with two premises!
Key Lemma: For every pair of orthogonal chords (segments a, b, c, d in Figure 7) in a circle of radius r, the following equation holds:
a2 + b2 + c2 + d2 = (2r)2
The Key Lemma (which looks suspiciously like the Pythagorean theorem) states that for each orthogonal (i.e., meeting at a right angle) pair of chords, the sum of squares of the lengths of the subchords equals the square of the diameter. A lovely (and relaxing) visual proof of this lemma can be found here: Four squares with constant area | Visual Proof | Squaring the segments. But let's make sure we have all the details of the proof.
Proof of the Key Lemma. The proof will rely on the fact that subchords a and b meet at a right angle and subchords c and d also meet at a right angle.
We can consider the hypotenuse of the triangle with a and b as legs and then make a square with this hypotenuse as one of its sides (green square below). Similarly, we can make a square with the hypotenuse from c and d as one of its sides (pink square below).
There's another geometry theorem that will help us out here: The Angle of Intersecting Chords Theorem (see here) implies that the sum of the lengths of the green arc and the pink arc equals half the circumference of the circle. This means that if we rotate the green square and the pink square towards each other along the circle so that the two squares meet, the white arc of the circle contained within the green and pink squares will be half the circle.
This is practically begging for us to apply the Pythagorean theorem, but for the Pythagorean theorem to give us the desired result, we need two things to be true:
The orange line (that connects the corners of the green and pink squares) is a diameter. This is true because as stated above, the arc of the circle contained within the green and pink squares makes up half of the circle.
The green and pink squares meet at a right angle. To see this is true, note that the intercepted arc of the angle formed by the green and pink squares’ sides is also exactly the opposite half circle (see point 1), which has angle 180 degrees. By the inscribed angle theorem, the angle of the intercepted arc is twice the angle of the inscribed angle in the circle, which means the angle between the green and pink squares is 90 degrees.
We can then apply the Pythagorean theorem to the side lengths of the green and pink squares with the diameter of the circle to prove the Key Lemma:
(2r)2 = a2 + b2 + c2 + d2
Proving the Pizza Theorem (using the Key Lemma)
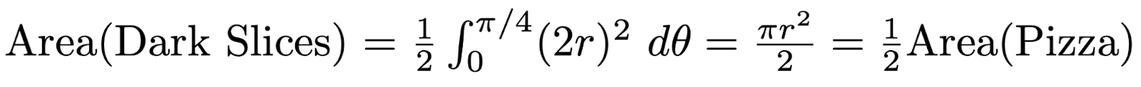
The Leibniz sector formula calculates the area of a pizza slice (in other words, a sector of a circle) based on the distances from the tip of the pizza slice to the edge of the crust (that is, the original circle). Written below is the formula when considering 45-degree slices for the pizza theorem, where r(𝜃) is the distance from the slice’s point to the outer crust at angle 𝜃. Here, angle = 𝜋/4 refers to the side that is clockwise from the angle = 0 side.
In the pizza below, consider the dark slices as the pepperoni slices. We can calculate the total area of the pepperoni slices as the sum of the area of the individual slices using the sector formula:
The right sum in the formula above can be grouped as:
Now we can use the incredible fact that for any given 𝜃, the four radii r1(𝜃), r2(𝜃), r3(𝜃), and r4(𝜃) are orthogonal to each other, which means that the initial “Key Lemma” holds for each 𝜃. This means that we have
This proves that the dark slices (aka, the pepperoni slices) make up half the total area of the pizza, which means the light slices (aka, the mushroom slices) must also make up half the total area. This proves the pizza theorem!
This is just one proof of the pizza theorem. This theorem has also been proven a few times via “proofs without words,” starting with a purely picture proof published in Mathematics Magazine in 1994 by Carter and Wagon. The idea of these proofs is to cut up the slices into smaller pieces, then match up congruent “mushroom” pieces to “pepperoni” pieces. The article above by Humenberger includes a great discussion on these proofs, and you can even visualize a dissection into smaller, congruent pieces via the awesome web app by Christian Lawson-Perfect at Proof without words of the pizza theorem.
We hope that you’ve had a scrumptious time proving the pizza theorem with us. Feel free to hit us up on social media with your favorite pictures of half-and-half pizzas!
Zoom Pizza Party in 2020
More Math
At BEAM, we love statements like the Pizza Theorem — the statement is simple and straightforward, but it’s not obvious whether it’s true or not and the path towards proving it appears tricky, or even impossible. These problems can grab your attention and get your mind racing. A few other math problems that are similar in this way (all coming here from number theory) include:
Goldbach’s Conjecture: Every even integer (greater than 2) can be written as the sum of two primes.
The Twin Prime Conjecture: There are infinitely many pairs of primes 2 apart from each other.
Fermat’s Last Theorem: There are no solutions to the equation a2 + b2 = c2, for positive integers a, b, c, and n with n > 2.
We’ve actually explored all of these problems here at BEAM, and Dan, our CEO, has given talks on the Twin Prime Conjecture in several classes. So if you are in need of more math to contemplate this Pi Day, one or all of these should give you plenty to chew on!
…and now for some Math on Pi Day
Check out this blog post!
